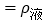
【題目】如圖所示,用壓強計“探究影響液體內部壓強大小的因素”。
![]()
(1)圖甲所示壓強計是通過U形管中水面_____來反映被測壓強大小的。
(2)若在使用壓強計前,發現U形管內水面已有高度差,通過_____(填寫正確選項前字母)方法可以進行調節。
A.從U形管內向外倒出適量水; B.拆除軟管重新安裝; C.向U形管內添加適量水;
(3)比較乙圖、丙圖和丁圖,可以得到:在同一深度,液體內部向各個方向的壓強_____。
(4)在乙圖中,若只將燒杯中的水換成同深度的鹽水,其他條件不變,則可以觀察到U形管兩邊液面的高度差將_____。(選填“變大”。“變小”或“不變”)。
(5)若在步驟(4)時,圖乙中U形管左右兩側水面的高度差h=5cm,則橡皮管內氣體的壓強與大氣壓之差約為_____Pa.(ρ鹽水=1.2×103kg/m3,ρ水=1.0×103kg/m3,g=10N/Kg)
【答案】高度差 B 相等 變大 500
【解析】
(1)壓強計是通過U形管中水面高度差來反映被測壓強大小的,用了轉換法;(2)U形管右端上方是和大氣相通的,等于大氣壓強;U形管右端液面比較高,就說明U形管左端液面上方的氣體壓強大于大氣壓;只要取下軟管,讓U形管左端液面和大氣相通,這樣U形管兩端的液面就是相平的;(3)在相同液體的同一深度,液體內部向各個方向的壓強相等;(4)在乙圖中,若只將燒杯中的水換成鹽水,其他條件不變,是控制深度相同,改變液體的密度,觀察U形管兩側的液面高度差是否相等,得出液體內部壓強是否和液體的密度有關;(5)根據p=ρgh求出液體產生的壓強即為橡皮管內氣體的壓強與大氣壓之差.
(1)壓強計是通過U形管中水面高度差來反映被測壓強大小的;
(2)若在使用壓強計前,發現U形管內水面已有高度差,進行調節時,只需要將軟管取下,再重新安裝,這樣的話,U形管中兩管上方的氣體壓強就是相等的(都等于大氣壓),當橡皮膜沒有受到壓強時,U形管中的液面就是相平的;
(3)因為乙圖、丙圖和丁圖中壓強計在液體中的深度相同,液體的密度相同,金屬盒所處的方向不同,但U形管兩側的液面高度差相等,所以可以得出結論為:在同一深度,液體內部向各個方向的壓強相等;
(4)在乙圖中,若只將燒杯中的水換成鹽水,因為鹽水的密度大于水的密度,其他條件不變,控制深度不變,根據P
壓強增大,故可以觀察到U形管兩邊液面的高度差將變大;
(5)圖乙中U形管左右兩側水面的高度差為5cm即5
m,所以橡皮管內氣體的壓強與大氣壓之差約為:p
gh
kg/
10N/kg
m
。
故答案為:(1)高度差;(2)B;(3)相等;(4)變大;(5)500。
科目:初中物理 來源: 題型:
【題目】小麗同學想知道家里一只陶瓷茶壺的密度,她用壺蓋進行實驗。
![]()
(1)將壺蓋放在調好的天平的左盤,往右盤放入砝碼并移動游碼,天平平衡時,砝碼的質量和游碼的位置如圖甲所示,則壺蓋的質量為_____g。
(2)如圖乙所示,將壺蓋浸沒到裝滿水的燒杯里,然后把溢出的水倒入量筒中,測出水的體積為20cm3,則壺蓋的密度是_____g/cm3。
(3)用該方法測出壺蓋的密度比真實值_____(填“偏大”或“偏小”)。
(4)小麗接著用現有的器材對水進行探究,描繪出質量與體積關系的圖線如丙圖中A所示。她分析后發現,由于誤將燒杯和水的總質量當作了水的質量,導致圖線A未經過坐標原點。由此推斷:水的質量與體積關系的圖線應是_____(選填丙圖中“B”、“C”或“D”)。
查看答案和解析>>
科目:初中物理 來源: 題型:
【題目】在水平木板上鋪上粗糙程度不同的材料,讓小車自斜面頂端由靜止滑下,比較小車沿水平面運動的距離,如圖所示。思考實驗的意義后,回答下列問題:
![]()
(1)為了得出科學結論,三次實驗應使小車運動到斜面底端的速度________,即小車應從斜面上的________處釋放。
(2)三次實驗中,小車在水平面上受到摩擦力最大的是第________次,這說明小車受到摩擦力的大小與接觸面的________有關;
(3)進一步推理可知,若水平面絕對光滑,則小車會在水平面上做________運動。
查看答案和解析>>
科目:初中物理 來源: 題型:
【題目】如圖所示,a、b是粗細不同的銅導線,C是兩根連接起來的導線,把它們接入家庭電路中使用時,下列說法不正確的是( )
![]()
A. 取長度相同的a、b兩根導線串聯接入電路,在相同時時間內,b導線發熱多
B. b導線通常連接在干路上,a導線通常連接小功率用電器
C. c導線中導線連接處比別處更容易發熱
D. c導線中導線連接處電流等于別處電流
查看答案和解析>>
科目:初中物理 來源: 題型:
【題目】如圖所示,在“研究物體動能與哪些因素有關”的實驗中,將A、B、C三小球先后從同一裝置的hA、hB、hC高處滾下(mA=mB<mC , hA=hC>hB)推動紙盒運動一段距離后靜止。
![]()
(1)要研究動能與質量的關系,我們要選擇________兩圖來進行比較。實驗中通過觀察________的大小,來判斷小球動能的大小。
(2)實驗中為了研究動能大小與質量的關系。需要控制小球撞擊時的速度不變,具體的控制方法是________。
(3)小王根據實驗現象認為:紙盒、小球最終都停下來了它們的機械能都消失了,能量是不守恒的。你認為小王的觀點是________的(選填(“正確”或“錯誤”),理由是:________。
查看答案和解析>>
科目:初中物理 來源: 題型:
【題目】如圖是某建設工地上工人用滑輪組拉動貨物的示意圖.貨物重3000N,與地面的接觸面積為0.25m2,工人用F為400N的拉力將貨物沿水平方向勻速拉動2m,貨物與地面的滑動摩擦力為600N.試求:
![]()
(1)貨物對地面的壓強是多少?
(2)貨物克服摩擦力所做的功是多少?
(3)滑輪組的機械效率為多少?
查看答案和解析>>
科目:初中物理 來源: 題型:
【題目】某興趣小組的同學觀察到:①飛機在起飛和航行時機翼的仰角不同;②飛機越大其機翼越大。他們想探究“機翼獲得升力的大小與機翼仰角、機翼面積有什么關系”?(注:機翼仰角為機翼下表面與水平面的夾角,機翼面積指機翼在水平面上投影的面積)
![]()
他們利用塑料泡沫等材料自制了三個質量相同、形狀相同、面積不同的機翼模型,把圓柱形空心筆穿過“機翼”并固定在“機翼”上,將一根金屬桿從筆桿中穿過并上下固定,確保“機翼”能沿金屬桿在豎直方向移動,將“機翼”掛在彈簧測力計的下方,實驗裝置如圖所示。
(1)用鼓風機對著“機翼”吹風,模擬飛機在空中飛行,當鼓風機向右吹風時,以氣流為對照物,飛機向______飛行。
(2)為了研究“機翼”獲得的升力與仰角的關系,他們對同一個“機翼”吹風,并保持風速不變,只改變“機翼”______的大小,觀察并記錄測力計的示數,在其他條件相同時,更換面積不同的“機翼”重復上述實驗,實驗記錄如下表:(每次吹風前測力計示數均為3.5 N)
機翼面積/cm2測力計示數/N機翼仰角 | 275 | 395 | 566 |
0(水平) | 3.2 | 3.0 | 2.6 |
較小 | 3.0 | 2.9 | 2.4 |
較大 | 2.9 | 2.8 | 2.3 |
最大 | 3.1 | 2.9 | 2.7 |
①在上述實驗中,吹風前后測力計示數的________即為“機翼”獲得升力的大小。
②通過分析數據可以得出結論:當質量、形狀、機翼面積和風速相同時,仰角增大,獲得的升力________(選填“一定”或“不一定”)增大;當質量、形狀、仰角和風速相同時,機翼面積越大,獲得的升力________。
③實驗時,“機翼”沿金屬桿上升,金屬桿對筆桿有向_____的摩擦力,因此測得的升力應________“機翼”實際獲得的升力。
查看答案和解析>>
科目:初中物理 來源: 題型:
【題目】小君同學在探究“影響滑動摩擦力大小的因素”實驗中,做了如圖所示的實驗:
(1)用彈簧測力計拉著木塊在水平方向做___________運動,根據______________的原理,可知摩擦力與拉力大小相等。
(2)小君分析甲和乙,發現F甲________F乙,說明滑動摩擦力的大小與接觸面的_____________有關。
(3)為了探究滑動摩擦力的大小與壓力的大小有關,比較_______兩圖
(4)小君在本次實驗中運用的研究方法是_______________和_____________。
查看答案和解析>>
科目:初中物理 來源: 題型:
【題目】某同學利用小桌、砝碼、泡沫塑料在探究“壓力的作用效果跟什么因素有關”時,實驗過程如圖所示,請仔細觀察并回答下列問題:
![]()
(1)該實驗是通過觀察______來顯示壓力的作用效果;
(2)由甲、乙兩圖所示實驗現象可得出:受力面積一定時,______越大,壓力作用效果越______;
(3)由______兩圖所示實驗現象可得出:壓力一定時,受力面積越大,壓力作用效果越______。
(4)該同學在實驗時將圖乙中的小桌和砝碼又放到一塊木板上,如圖丁所示,則在乙、丁兩種情況中小桌產生的壓強______填“大于”、“小于”或“等于”
(5)該實驗采用的研究方法是______和______。
查看答案和解析>>
湖北省互聯網違法和不良信息舉報平臺 | 網上有害信息舉報專區 | 電信詐騙舉報專區 | 涉歷史虛無主義有害信息舉報專區 | 涉企侵權舉報專區
違法和不良信息舉報電話:027-86699610 舉報郵箱:58377363@163.com