【題目】小明在“探究電流與電阻關系”的實驗中,準備了如下實驗器材:干電池,標有“15Ω 1A”字樣的滑動變阻器,阻值分別為5Ω、10Ω、20Ω的定值電阻。
(1)小明連接了下面的電路,其中有一條導線連接有誤,請將連接錯誤的導線打“×”并畫出正確連線。
(___)
![]()
(2)排除故障后,小明將5Ω定值電阻連入電路,將滑動變阻器的滑片移動到_____(選填a”或“b”)端,再閉合開關,調節滑動變阻器的滑片,使電壓表的示數為某一定值,此時電流表的示數如圖乙,示數為_____A。
(3)接下來斷開開關,取下5Ω的定值電阻,分別把它換成10Ω、20Ω的定值電阻,閉合開關,調節滑動變阻器,控制_____(選填“電流表”或“電壓表”)示數不變,分別讀取相應的電流表示數,記錄在表中:
實驗次數 | 1 | 2 | 3 |
電阻R/Ω | 5 | 10 | 20 |
電流I/A | 0.2 | 0.1 |
(4)由數據可知:當導體兩端的電壓一定時,通過導體的電流與導體的電阻成_____。
(5)小明想用一塊電流表和一個定值電阻R0測未知電阻Rx的阻值,于是他和同組同學設計了如圖丙所示的電路圖,并進行如下實驗操作:
①閉合S、S1,此時電流表的示數為I;
②閉合S、斷開S1,此時電流表的示數為I1;
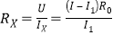
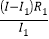
③求未知電阻Rx的表達式為:Rx=_____。(用R0、I、I1表示)
【答案】(1)
(2)b; 0.4; (3)電壓表; (4)反比; (5)③
【解析】
(1)電壓表與定值電阻并聯且正進負出;
(2)為保護電路,變阻器連入電路中電阻最大;根據電流表小量程計讀數;
(3)研究電流與電阻的關系時,要控制電壓表示數不變,由歐姆定律的變形公式,求出電壓表示數;
連接電路過程中,應該斷開開關,并且將滑動變阻器阻值調到最大;
(4)由表中數據得出結論;
(5)在沒有電壓表時,使定值電阻與待測電阻并聯,根據電流表和定值電阻的示數計算出電壓,然后根據公式
計算出其電阻。
(1)如圖的電路中,電壓表與滑動變阻器并聯了,是錯誤的, 將電壓表與定值電阻并聯,即電壓表的中間接線柱應連接到定值電阻的左端,如圖:
![]()
(2)排除故障后,小明將5Ω定值電阻連入電路,根據保戶電路的原則,應將滑動變阻器的滑片移動到b端,即阻值最大端,再閉合開關;
調節滑動變阻器的滑片,使電壓表的示數為某一定值,此時電流表的示數如圖乙,由電路圖知電流表使用小量程,分度值為0.02A,指針在第二大格處,所以示數為0.4A。
(3)接下來斷開開關,取下5Ω的定值電阻,分別把它換成10Ω、20Ω的定值電阻,閉合開關;
因為研究電流與電阻的關系時,應控制電阻兩端的電壓不變,所以調節滑動變阻器,控制電壓表的示數不變。
(4)由數據可知,每一次的電流與電阻的乘積都相等,即
;
所以可得結論:當導體兩端的電壓一定時,通過導體的電流與導體的電阻成反比。
(5)①閉合S、S1,此時電流表的示數為I,由圖知,此電流為干路電流,即干路電流為I;
②閉合S、斷開S1,此時電流表的示數為I1,即未知電阻的電流為I1;
根據并聯電路的干路電流等于各支路電流之和知,R0的電流為:
;
則電源電壓為:
;
③根據
得未知電阻的表達式為:
![]()
科目:初中物理 來源: 題型:
【題目】利用如圖a所示的電路,可以研究通過小燈泡的電流跟加在它兩端電壓的關系。實驗中使用小燈泡的額定電壓為2.5V。
![]()
(1)請按照圖a,將圖b中的實物電路連接完整;
(______)
(2)閉合開關S,當滑片從滑動變阻器的一端向另一端移動時,小燈泡兩端的電壓連續發生變化,于是可得到多組測量值(U,I),根據測量值畫出小燈泡的I﹣U圖象如圖c所示。從圖象可以發現:隨著小燈泡兩端電壓從0逐漸增大(不大于額定電壓),其燈絲的電阻值_____(選填“不斷增大”,“保持不變”或“不斷減小”);
(3)在圖a中,閉合開關,將片P從A端向B端移動。在此過程中,小燈泡兩端的電壓_____(選填“不斷變大”,“保持不變”或“不斷變小”)
(4)考慮到電壓表的電阻對電路的影響,每次電流表的示數比測量時通過小燈泡的實際電流_____(選填“偏大”或“偏小”)。
查看答案和解析>>
科目:初中物理 來源: 題型:
【題目】質量為60kg的工人用如圖甲所示的滑輪組運送貨物上樓。已知工人在1min內將貨物勻速提高6m,作用在鋼繩的拉力為400N,滑輪組的機械效率隨貨物重力的變化如圖乙所示(機械中摩擦和繩重均不計)。下列說法正確的是
![]()
A. 作用在鋼繩上的拉力的功率為400W
B. 動滑輪的重力為200N
C. 人對繩子的最大拉力為1000N
D. 該滑輪組的最大機械效率為83.3%
查看答案和解析>>
科目:初中物理 來源: 題型:
【題目】如圖所示,一個底面積為100cm2的圓柱體容器(容器壁的厚度忽略不計)放在水平桌面的中央,容器中裝有1000g的水。將一個重3N的實心長方體A掛在彈簧測力計上,然后豎直浸入水中,當A有一半浸在水中時,彈簧測力計的讀數為2N.(g取10N/kg)
![]()
(1)此時,A物體受到的浮力為多少?
(2)物體A的體積是多少?
(3)當物體A浸沒在水中時(容器中的水并未溢出),水對容器底的壓強是多大?
查看答案和解析>>
科目:初中物理 來源: 題型:
【題目】甲、乙兩燈的額定電壓均為6V,測得兩燈的電流與電壓關系圖象如圖所示。甲燈正常工作時的電阻是_____Ω;當乙燈的實際功率是2.4W時,它兩端的實際電壓是_____V;當把甲、乙兩燈串聯接在7V的電源上時,電路消耗的總功率是_____W。
![]()
查看答案和解析>>
科目:初中物理 來源: 題型:
【題目】如圖所示的力學現象。下列分析錯誤的是____,選擇理由____。
![]()
A.手在把手的不同位置擰螺母效果不同,表明力的作用效果與力的作用點有關
B.木塊對桌面的壓力與桌面對木塊的支持力是一對平衡力
C.兩人相推后各自遠離,說明力的作用是相互的
D.在拉力作用下,木塊仍然保持靜止,是因為拉力等于摩擦力
查看答案和解析>>
科目:初中物理 來源: 題型:
【題目】“營養早餐工程“惠及千家萬戶家住南部山區的小剛也是受益者之一,每周都能喝到政府發給的牛奶。在學習了密度知識以后,小剛利用托盤天平、燒杯和水測量牛奶的密度,他進行了如下操作:
![]()
(1)小剛觀察到牛奶包裝盒上標有250ml字樣;
(2)將盒裝牛奶放在已經調節好的天平左盤,在右盤中加減砝碼后,發現天平仍然不平衡,小剛接下來應該進行的操作是_____。
(3)天平平衡后,觀察右盤中砝碼質量和游碼在標尺上的位置如圖1所示。然后小剛將盒中的牛奶倒入燒杯中,用天平測得牛奶包裝盒的質量為7g。則牛奶的密度為_____。
(4)小剛用這種方法測出的牛奶密度和真實值相比____(選填“偏大”或“偏小“)
(5)小剛在學習完浮力知識后,認識了一種測量液體密度的儀器一密度計(如圖2所示),將其放入液體中,當它豎立靜止時,與液面相交的讀數即為液體密度。小剛受到啟發,用細沙、水、刻度尺,記號筆、燒杯和平底玻璃管(數量不限),設計實驗并完成了測量,請你幫助小剛利用上述器材完成測量牛奶密度的實驗____。
①寫出具體的操作步驟(可以結合簡圖用文字說明,測量物理量用字母表示)。
②根據上述步驟中所測物理量,寫出牛奶密度的表達式推導過程(有必要的文字說明)。
③牛奶密度的表達式ρ牛奶(用已知量測量量表示,比如水的密度用ρ水表示)。
查看答案和解析>>
科目:初中物理 來源: 題型:
【題目】小華去商場購物,站在勻速上升的扶梯上,她的機械能將_____(填“增加”“不變”或“減少”);若以扶梯為參照物,她是_____(填“靜止”或“運動”)的。
查看答案和解析>>
科目:初中物理 來源: 題型:
【題目】小宇同學要用家里標有“220V 1210W”的電熱水壺燒水。他先觀察了家中電能表的表盤如圖所示,下列說法中正確的是
![]()
A. 電熱水壺是利用電流的熱效應工作的
B. 小宇家上月消耗的電能為2695.2kWh
C. 電熱水壺正常工作100s消耗的電能是1.21×105J
D. 用電高峰時期,小宇關閉家里其它用電器,只讓電熱水壺工作,發現電能表指示燈閃爍10次所用時間為12s,則電熱水壺實際功率為1000W
查看答案和解析>>
湖北省互聯網違法和不良信息舉報平臺 | 網上有害信息舉報專區 | 電信詐騙舉報專區 | 涉歷史虛無主義有害信息舉報專區 | 涉企侵權舉報專區
違法和不良信息舉報電話:027-86699610 舉報郵箱:58377363@163.com