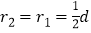
【題目】如圖所示,一足夠大的光滑絕緣水平桌面上建一直角坐標系xOy,空間存在垂直桌面向下的勻強磁場。一帶電小球A(可視為質點)從坐標原點O以速度v沿著x軸正方向入射,沿某一軌跡運動,從(0,d)坐標向左離開第I象限。若球A在第I象限的運動過程中與一個靜止、不帶電的小球B(可視為質點)發生彈性正碰,碰后兩球電量均分,球B的速度是球A的3倍。若不論球B初始置于何處,球A碰后仍沿原軌跡運動。球A、B的質量之比為3:1,不計兩球之間的庫侖力。
![]()
(1)判斷帶電小球A的電性并求出碰后球B的速度大小;
(2)若兩球碰后恰好在(
,
)坐標首次相遇,求球B在第I象限初始位置的坐標;
(3)若將球B置于(
,
)坐標處,球A、B碰后,在球B離開第I象限時撤去磁場,再過時間Δt恢復原磁場,要使得兩球此后的運動軌跡沒有交點,求Δt的最小值。
【答案】(1)球A帶正電荷
(2)
(3)![]()
【解析】(1)球A帶正電荷
碰撞前后球A運動半徑
保持不變
qvB=m1
碰后球A速度v1=
v
v2=3v1=
v
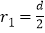
(2)由
解得
如圖1所示,設兩球從碰撞位置運動到(-
,
)半徑所夾圓心角是α,球B比球A多轉2π,兩球角速度之比1:3,α+2π=3α
解得α=π,所以球B被碰時在第一象限的位置為(
,
)
![]()
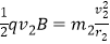
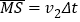
(3)如圖2所示,球B離開第一象限時,兩球運動軌跡半徑所夾圓心角是60°。磁場消失后,各自沿著圖中速度方向做勻速直線運動,當磁場恢復后,兩球又做勻速圓周運動,且半徑相等都是
。
撤去磁場時,兩球運動軌跡的圓心位置均為圖3中的M點,恢復磁場,當兩球的圓形運動軌跡恰好相切時,△t為最小,此時球A、B的圓心位置分別為N、S。
=1:3,
;![]()
見圖3,根據余弦定理可得:△t=
科目:高中物理 來源: 題型:
【題目】下圖所示是做直線運動的甲、乙兩個物體的位移
時間圖象,由圖象可知()
![]()
A. 乙開始運動時,兩物體相距20m
B. 在
這段時間內,兩物體間的距離逐漸變小
C. 在
這段時間內,兩物體間的距離逐漸變小
D. 兩物體在10s時相距最遠,在25s時相遇,且此時二者速度相同
查看答案和解析>>
科目:高中物理 來源: 題型:
【題目】如圖,質量為4m的立方體木塊A置于光滑水平面上,B為固定在木塊A上的輕質滑輪,不可伸長的細繩一端固定在O點,另一端拴接質量為m的小木塊C,C與木塊A的豎直邊緊靠著,接觸面光滑,細線OB段始終水平,若系統由靜止釋放,則木塊C落地前,下列說法中正確的是
![]()
A. 當木塊A向右滑行的位移為x時,木塊C位移為x
B. 運動過程中,細繩對木塊C的拉力等于mg
C. 以地面為參考系,木塊C做直線運動
D. 當木塊A向右滑行的位移為x時,木塊A的速度為![]()
查看答案和解析>>
科目:高中物理 來源: 題型:
【題目】實驗室提供以下器材測量電流計G的內阻:
![]()
A.待測電流計G(0 – l0mA,內阻約300Ω); B.電壓表V(0 -15V,內阻約3KΩ);
C.電流表A(0 -15mA,內阻約100Ω); D.定值電阻R1( 300Ω);
E.定值電阻R2(10Ω); F.滑動變阻器R3(0 - l000Ω);
G.滑動變阻器R4(0- 15Ω); H.干電池(4. 5V,內阻不計);
I.電鍵S及導線若干。
某同學設計了如圖甲、乙所示兩個測量電路,
(1)用圖甲電路測量時誤差較大,原因是_____;
(2)用圖乙電路進行實驗時,滑動變阻器應選用_____,定值電阻應選用____(選填器材前的字母);
(3)請用筆畫線代替導線,將丙圖的電路正確連接____________。
(4)按電路圖乙連接實驗,記錄待測電流計的讀數I、電路中另一個電表的讀數x;移動滑動變阻器的滑片,獲得多組I、x的值。以I為縱坐標,x為橫坐標,作出如圖丁所示的圖線,若圖線的斜率為k,則待測電流計G內阻為_____。該實驗測得電流計G的內阻測量值與真實值相比_____(偏大、偏小、相等)。
查看答案和解析>>
科目:高中物理 來源: 題型:
【題目】如圖所示,固定直桿上套有一個質量為m的小球和兩根原長均為L的輕彈簧,兩根輕彈簧的一端與小球相連,另一端分別固定在桿上相距為2L的A、B兩點。已知直桿與水平面的夾角為θ,兩彈簧的勁度系數均為
,小球在距B點
L的P點處于靜止狀態,此時小球受到的摩擦力為最大靜摩擦力,且與滑動摩擦力相等,重力加速度為g。求:
![]()
(1)從固定點B處剪斷彈簧的瞬間小球加速度的大小和方向;
(2)若小球從P點以初速度v0沿桿向上運動,恰能到達距A點
L的Q點,求初速度v0的大小;
(3)接(2),小球從Q點下滑過程中動能最大時離到B點的距離。
查看答案和解析>>
科目:高中物理 來源: 題型:
【題目】如圖所示,發射地球同步衛星時,先將衛星發射至近地軌道1,然后經點火使其在橢圓軌道2上運行,最后再次點火將衛星送入同步軌道3.軌道1、2相切于A點,軌道2、3相切于B點.則當衛星分別在1、2、3軌道正常運行時,下列說法中正確的是
![]()
A. 衛星在軌道3上的速率大于在軌道1上的速率
B. 衛星在軌道2上運行的周期大于在軌道1上運行的周期且小于在軌道3上運行的周期
C. 衛星沿軌道2運行經過A點時的加速度大于沿軌道1運行經過A點時的加速度
D. 衛星沿軌道3運行經過B點時的速率小于沿軌道2運行經過B點時的速率
查看答案和解析>>
科目:高中物理 來源: 題型:
【題目】地球A和某一行星B的半徑之比為R1∶R2=1∶2,平均密度之比為ρ1∶ρ2=4∶1.若地球表面的重力加速度為10 m/s2,那么
(1)B行星表面的重力加速度是多少?
(2)若在地球表面以某一初速度豎直上拋的物體最高可達20 m,那么在B行星表面以同樣的初速度豎直上拋一物體,經多少時間該物體可落回原地?(空氣阻力不計)
查看答案和解析>>
科目:高中物理 來源: 題型:
【題目】如圖所示,一木塊放在水平桌面上,在水平方向共受到三個力(即F1、F2和摩擦力)作用,木塊處于靜止狀態,其中F1=10N、F2=2N.若撤去力F1,則木塊在水平方向受到的合力和摩擦力為( )
![]()
A. 10N; 2N B. 2N; 8N C. 2N; 0 D. 0; 2N
查看答案和解析>>
科目:高中物理 來源: 題型:
【題目】如圖所示,質量m=2 kg的光滑圓柱體放置在質量為M=4 kg的V形凹槽內,凹槽右壁豎直,左邊為傾角θ=37°的斜面,凹槽與水平地面間的動摩擦因數為μ=0.2。用垂直于凹槽右壁的水平推力F使圓柱體和凹槽一起向左勻速運動(重力加速度取g=10m/s2,已知sin37°=0.6,cos37°=0.8)。求:
![]()
(1)水平推力F的大小;
(2)凹槽左邊斜面對圓柱體的彈力N1的大小和凹槽右壁對圓柱體的彈力N2的大小。
查看答案和解析>>
湖北省互聯網違法和不良信息舉報平臺 | 網上有害信息舉報專區 | 電信詐騙舉報專區 | 涉歷史虛無主義有害信息舉報專區 | 涉企侵權舉報專區
違法和不良信息舉報電話:027-86699610 舉報郵箱:58377363@163.com