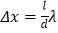
【題目】如圖是氫原子能級圖,大量處在激發態n=5能級的氫原子向低能級躍遷,a是從n=4能級躍遷到n=2能級產生的光,b是從n=5躍遷到n=3能級產生的光。已知某金屬的極限頻率ν=5.53×1014Hz,普朗克常量h=6.6×10-34J·s,電子電荷量
,則
![]()
A. 在相同的雙縫干涉實驗裝置中,a光產生的干涉條紋比b光更寬
B. a光和b光的光子動量之比為255:97
C. 用a光照射該金屬時,能產生最大初動能為0.27
的光電子
D. 在同樣的玻璃中,a光的傳播速度大于b光的傳播速度
【答案】BC
【解析】A. 根據EmEn=△E=hγ,可知,氫原子從n=4的能級躍遷到n=2的能級的能級差大于從n=5的能級躍遷到n=3的能級時的能級差,那么a光的頻率大于b光的頻率。根據
,a光的波長小于b光的波長,根據干涉條紋得寬度
,a光產生的干涉條紋比b光更窄,故A錯誤;
B. 根據光的能量公式
與動量公式
可知,a光和b光的光子動量之比等于a光和b光的光子能量之比為255:97,故B正確;
C. 根據EmEn=△E,那么a光的能量為Ea=3.40.85=2.55eV。某金屬的極限頻率ν=5.53×1014Hz,則逸出功為
,用a光照射該金屬時,能產生最大初動能為Ea-W0=2.55eV-2.28eV=0.27eV,故C正確;
D.在同樣的玻璃中,a光的頻率高,折射率大。根據v=c/n,a光的傳播速度小于b光的傳播速度,故D錯誤。
故選:BC。
科目:高中物理 來源: 題型:
【題目】如下圖所示,一質量為m的木塊靠在豎直粗糙的墻壁上,且受到水平力F的作用,下列說法正確的是( )
![]()
A. 若木塊靜止,則木塊受到的靜摩擦力大小等于mg,方向豎直向上
B. 若木塊靜止,當F增大時,木塊受到的靜摩擦力隨之增大
C. 若木塊沿墻壁向下運動,則墻壁對木塊的摩擦力大小為μF
D. 若開始時木塊靜止,當撤去F,木塊沿墻壁下滑時,木塊不受滑動摩擦力作用
查看答案和解析>>
科目:高中物理 來源: 題型:
【題目】一種矩形娛樂器械可以使人體驗超重和失重,一個可乘十多人的環形座艙套裝在豎直住上,由升降機送上幾十米的高處,然后讓座艙自由落下,落到一定位置時,制動系統啟動,到地面時剛好停下,已知座艙開始下落時的高度為75m,當落到離地面30m的位置時開始制動,座艙勻減速。(
)
(1)座艙里的人體驗失重和超重各多長時間?
(2)若座艙中某人用手托著重50N的鉛球,當座艙落到離地面20m的位置時,手要用多大的力才能托住鉛球?
查看答案和解析>>
科目:高中物理 來源: 題型:
【題目】如圖為2017年5月戴森公司發售的360 Eye掃地機器人。 360 Eye內置鋰電池容量為2250mAh,在一般狀況下,充滿一次電可供其運行的時間為45min。已知360 Eye掃地機器人額定功率54W,則下列說法正確的是
![]()
A. 掃地機器人正常工作時的電流是2.25A
B. 掃地機器人正常工作時額定電壓為18V
C. 掃地機器人工作時的內阻為6Ω
D. 掃地機器人電池充滿電之后的電能為4.374×105J
查看答案和解析>>
科目:高中物理 來源: 題型:
【題目】如圖所示,U形管右管橫截面積為左管橫截面積的2倍,在左管內用水銀封閉一段長為26cm,溫度為280K的空氣柱,左右兩管水銀面高度差為36cm,外界大氣壓為76cmHg.若給左管的封閉氣體加熱,使管內氣柱長度變為30cm,則此時左管內氣體的溫度為多少?![]()
查看答案和解析>>
科目:高中物理 來源: 題型:
【題目】在光滑水平面上有質量均為2kg的a、b兩質點,a質點在水平恒力Fa=4N作用下由靜止出發移動4s,b質點在水平恒力Fb=4N作用下由靜止出發移動4m.比較兩質點所經歷的過程,可以得到的正確結論是( )
A.a質點的位移比b質點的位移大
B.a質點的末速度比b質點的末速度小
C.力Fa做的功比力Fb做的功多
D.力Fa的沖量比力Fb的沖量小
查看答案和解析>>
科目:高中物理 來源: 題型:
【題目】某興趣小組對市場中電線進行調查,
(1)如圖1所示,采用繞線法測得該電線直徑為____________mm;
(2)取長度為100m的電線,欲測其電阻:
①先用多用電表進行粗略測量,將多用表選擇開關置于“×10”檔并調零后,兩表筆接觸待測電阻的兩端進行測量,表盤指針如圖2所示。為了使測量值更準確,“選擇開關”應置于______(填“×1”、“×100”或“×1K”),并兩表筆短接,調節圖3中___(“A”或“B”) 重新調零后進行測量。
![]()
②再用伏安法測量其電阻,并設計圖4電路,則電壓表的另一端應接______(填“a”或“b”),測量得電壓表示數為4.50V,而電流表讀數如圖5所示,則所測的電阻為_________Ω。
查看答案和解析>>
科目:高中物理 來源: 題型:
【題目】如圖,在兩水平極板間存在勻強電場和勻強磁場,電場方向豎直向下,磁場方向垂直于紙面向里.一帶電粒子以某一速度沿水平直線通過兩極板.若不計重力,下列四個物理量中哪一個改變時,粒子運動軌跡不會改變?( )![]()
A.粒子速度的大小
B.粒子所帶的電荷量
C.電場強度
D.磁感應強度
查看答案和解析>>
科目:高中物理 來源: 題型:
【題目】(18分)平面直角坐標系xOy中,第Ⅰ象限存在垂直于平面向里的勻強磁場,第Ⅲ現象存在沿y軸負方向的勻強電場,如圖所示。一帶負電的粒子從電場中的Q點以速度v0沿x軸正方向開始運動,Q點到y軸的距離為到x軸距離的2倍。粒子從坐標原點O離開電場進入電場,最終從x軸上的P點射出磁場,P點到y軸距離與Q點到y軸距離相等。不計粒子重力,為:![]()
(1)粒子到達O點時速度的大小和方向;
(2)電場強度和磁感應強度的大小之比。
查看答案和解析>>
湖北省互聯網違法和不良信息舉報平臺 | 網上有害信息舉報專區 | 電信詐騙舉報專區 | 涉歷史虛無主義有害信息舉報專區 | 涉企侵權舉報專區
違法和不良信息舉報電話:027-86699610 舉報郵箱:58377363@163.com